Akustik Dämpfend
Perfekter Sound und optimaler Schutz vor äusseren Einflüssen sind die zentralen Ziele der Akustik. BOPP hat in enger Zusammenarbeit mit renommierten Akustikspezialisten die vielfältige Acoustic Mesh- Produktelinie entwickelt, die mittels ihren akustisch dämpfenden Eigenschaften für tontechnische Höchstleistungen sorgt.

BOPP AM Gewebe ist die ideale dämpfende Komponente für Mikrofone oder Lautsprecher und bieten eine grosse Auswahl für die Tonoptimierung Ihrer Produkte. Dank unserem hohen Qualitätsstandard und der Verwendung von korrosionsbeständigen Edelstahl-Feinstdrähten, werden kleinste Toleranzen in Bezug auf die akustische Performance, sowie bei allen anderen Gewebeeigenschaften eingehalten. Durch die hohe Festigkeit wird das Buzzing & Flapping maximal reduziert.
Gleichzeitig wird eine maximale Sicherheit gegenüber äusseren mechanischen Einflüssen erreicht. AM Gewebe schützen vor Partikel bis zu einer Grösse von 13 Mikron und beugen sogar dem Eindringen von Flüssigkeit vor. Unerwünschte Windgeräusche werden reduziert und zugleich der Staubschutz optimiert. Nicht zuletzt sorgen unsere Metallgewebe für einen ästhetischen Finish.
Die AM Typen lassen sich auf verschiedenste Art in die Produkte implementieren. Dabei kann es sich um flache oder 3D geformte Einzelteile oder um ganze Baugruppen (Gewebe, Gehäuse, Klebschicht usw.) handeln.
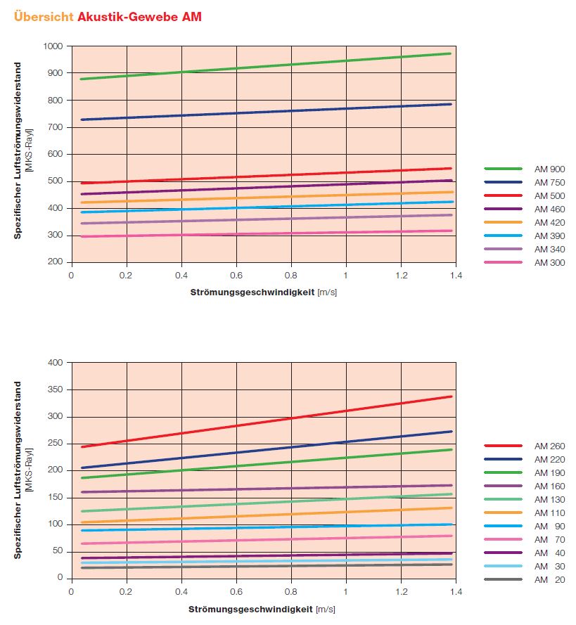
- Hoher Variantenreichtum von 20 bis 900 Rayl MKS
- Mit verschiedenen Behandlungen und Nachbearbeitungen stimmen wir das Gewebe ideal auf Ihre Bedürfnisse ab
- Unsere AM LR-Reihe stellt die perfekte Ergänzung in Form von akustisch transparenten Geweben dar

Download PDF 6.3 MB
Download PDF 104 KB
Weitere Anwendungen
Produkte
Nachfolgend finden Sie die typischerweise eingesetzten Produkte für diese Anwendung. Wir sind Ihnen gerne behilflich bei der Auswahl der für Ihren Bedarf passendsten Spezifikation. Kontaktieren Sie uns.
Produktsuche nach Eigenschaften
Finden Sie hier die passenden Produkte bei bereits konkreten Anforderungen an unsere Metallgewebe.
Produktsuche nach Eigenschaften
Finden Sie hier die passenden Produkte bei bereits konkreten Anforderungen an unsere Metallgewebe.